雷速体育
雷速体育 雷速体育
雷速体育概览
师资队伍
科学研究
学生园地
招生就业
人才培养
党建工作
雷速体育
雷速体育简介
|
历史沿革
|
现任领导
科研概况
|
历年科研项目汇总
招生计划
|
就业信息
本科教育
|
研究生教育
当前位置
:
雷速体育
» 通知公告
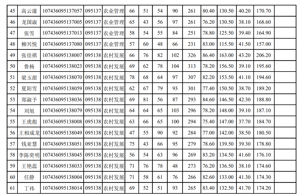
雷速体育 2026年硕士研究生一志愿复试成绩公示
发布时间2026-03-29 查看次数:
雷速体育