雷速体育
雷速体育 雷速体育
雷速体育概览
师资队伍
科学研究
学生园地
招生就业
人才培养
党建工作
雷速体育
雷速体育简介
|
历史沿革
|
现任领导
科研概况
|
历年科研项目汇总
招生计划
|
就业信息
本科教育
|
研究生教育
当前位置
:
雷速体育
»
人才培养
» 研究生教育
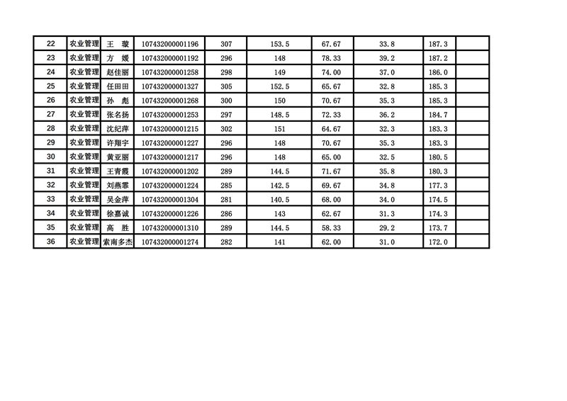
雷速体育 2022年硕士研究生复试一志愿考生复试成绩(农业管理)
发布时间2022-03-30 查看次数:
雷速体育